前言
城镇污水处理厂污泥稳定化处理产物的土地利用的处置方式是解决污泥处理产物出路最重要和最主要的形式,是实现污泥处理产物有机质循环利用最重要的途径。“处置决定处理,处理必须满足处置要求”,要保证处理产物满足土地利用的要求,以厌氧消化、好氧发酵为代表的稳定化处理是最匹配和最核心的处理手段,也是国内外污泥处理工程广泛应用的工艺。
包括德国工业标准(DIN4045)在内的多个文献对污泥稳定化处理给出了一致定义,即经稳定化处理后,污泥中的固体物质、产生气味的物质和病原菌得到减少;其内涵是处理后的产物不再腐败发臭,不腐败发臭的根本原因在于微生物对稳定化处理后产物的分解作用是缓慢的。已有研究表明,厌氧消化后的沼渣和好氧发酵产物富含生物腐殖酸,其主要成分为水溶性小分子的富里酸和非水溶性大分子的胡敏酸,这类物质也被证实是微生物作用缓慢的物质。这类物质在自然生态系统中是重要的有机碳源,对土壤保水保肥、农林作物增产有重要意义。厌氧消化和好氧发酵(包括产物陈化)不仅是简单有机物的降解过程,也是这些稳定化物质的合成过程。这一稳定化过程同时也实现了对产物的灭菌消毒,满足园林绿化等土地利用方式的基本要求并具有改良土壤的作用,故称之为“有机炭土”或“生物炭土”。行业内也逐步认识到稳定化处理的重要意义和产物重要价值。
但是稳定化处理产物中的生物腐殖酸是如何形成的,稳定化又是如何衡量的,其产物价值又是如何体现的,国内尚无以实际工程为对象的研究。基于上述问题,本研究以国内实际运行的十余座厌氧消化(包括高温热水解厌氧消化、与餐厨协同厌氧消化)和好氧发酵工程为对象,开展了污泥稳定化处理过程的物质转化机理研究,成果揭示了处理产物的稳定化特性和土地资源化利用价值,提出了与稳定化产物性质相一致的产物稳定化水平判定方法,为我国污泥处理采用正确的方法和稳定化产物的土地资源化利用提供了科学依据。
1材料与方法
1.1 污泥采样点
本试验的污泥样本来自于全国16座污水处理厂的污泥处理工程,其中,9座采用厌氧消化处理工艺,记为A1~A9,7座采用好氧发酵处理工艺,记为B1~B7;两种污泥处理工艺流程及采样点分布如图1所示。

1.2 样品预处理与分析方法
1.2.1 样品的预处理
各厂各采样点的样品先经冷冻干燥(-56 ℃,50 Pa)24 h以上,至含水率低于5%,取冷干样品研磨,过80目(0.2 mm)筛网,弃去筛上物(主要为污泥中的杂质或残余辅料),筛下物收集,依次放入密封袋中并编号,避光干燥保存。
1.2.2 有机质的测定
腐殖酸和蛋白质的提取与测定:采用焦磷酸钠碱溶酸析法提取腐殖酸,具体步骤为:称取0.5g冷干的污泥粉末,置于250mL具塞锥形瓶中,加入100mL焦磷酸钠与氢氧化钠混合提取剂(0.1 mol/L Na4P2O7和0.1 mol/L NaOH),室温下浸提14 h,浸提液为腐殖酸与蛋白质的混合液;量取50 mL浸提液,通过酸碱调节(用2 M H2SO4调浸提液pH<3,80 ℃水浴30 min,此时有沉淀析出,室温下静置12 h,沉淀用0.45 μm滤膜过滤,滤液为富里酸,滤纸上的沉淀再用0.1 M NaOH重新溶解为胡敏酸),分离出富里酸和胡敏酸,并分别定容至100 mL,最后采用修正后的lowry法测定腐殖酸和蛋白质的浓度。
多糖的提取与测定:称取0.1 g冷干污泥粉末,置于10 mL哈希比色管中,加入5 mL 2.5 M HCl,旋紧瓶盖,置于哈希消解仪中,100 ℃下消解3 h,冷却至室温,加固体碳酸钠中和液体(约0.6 g),直到泡腾停止;用蒸馏水定容至50 mL,过0.45 μm滤膜,采用蒽酮-硫酸法测定滤液中的多糖浓度。
1.2.3 三维荧光光谱的测定与分析
蛋白质类和腐殖酸类物质是具有荧光特性的有机物,三维荧光(3D-EEM)图谱能定性或半定量地分析这两类物质的相对含量,从而将蛋白质的减量和腐殖酸的增量耦合起来。三维荧光图谱采用三维荧光光谱仪(FluoroMax-4,Horiba,日本)测定。光谱数据使用Origin 8.5软件进行绘图,并使用ImageJ软件(https://imagej.nih.gov/ij/)对光谱图进行半定量分析。以牛血清蛋白、富里酸和胡敏酸标准物质的荧光图谱作为参照,分析样品出峰位置所代表的荧光物质。
对3D-EEM光谱的定性分析通过荧光区域整合法(Fluorescence Regionalization Integration,FRI)进行。早期有学者将荧光光谱分为5个区;后续有研究者将荧光光谱进一步划分为七类荧光区。在本研究中,参照七类荧光分区法,将三维荧光图谱进一步归类为2个区:复杂有机物区和简单有机物区;复杂有机物区包括类富里酸、类胡敏酸以及腐殖化中间产物,简单有机物区包括类蛋白质以及蛋白质中间代谢产物。
参考Muller等的方法,在FRI法的基础上,借助Origin和ImageJ软件对光谱图进行半定量分析。首先,将得到的彩色光谱图转化为黑白图,再利用ImageJ软件读取各区域的面积和荧光信号强度。根据式(1)计算各区域的荧光值:
Vf(i)=VimageJ(i)×∑2i=1S(i)S(i)(1)
式中S(i)——区域面积;
VimageJ(i)——区域内荧光信号强度。
根据式(2)计算出的值称为荧光复杂指数(Complexity Index, CI),即类腐殖酸与类蛋白荧光值的比值。
CI=Vf(2)Vf(1)(2)
CI指数反映了复杂有机物与简单有机物含量的比值,一定程度上反映了物料中易生物降解组分(蛋白质类物质)的减少和复杂、稳定组分(腐殖质类物质)的增加。该指数越大,说明简单有机物降解越彻底,有机物腐殖化程度越高,也说明样品的化学性质越稳定。
2厌氧消化处理产物特征及转化机理研究
2.1 厌氧消化处理产物特征分析
9座厌氧消化厂的进泥泥质及稳定化处理产物(消化沼渣)的性质见表1。由表1可知,9座厂以蛋白质和多糖为代表的有机物降解率排序为A4>A6>A5>A7>A8>A2>A9>A1>A3,其中A4~A8为高温热水解-厌氧消化处理工艺,其有机物降解率普遍高于传统工艺,说明高温热水解在提高厌氧消化效率上具有重要意义。根据我国现行《室外排水设计规范》(GB 50014—2006,2016年版)中关于污泥稳定化控制的相关标准,厌氧消化的有机物降解率需达到40%以上。在9座厂中,仅A4~A6达到这一要求。观察发现,这3座厂的进泥有机物含量均高于60%,可见有机物降解率与进泥泥质密切相关;进泥有机物含量越高,有机物降解率也越高。但在我国南方地区,有些厂的进泥有机物含量尚不足50%,如A1、A7和A9,实现40%的有机物降解率就比较困难,即使采用高温热水解预处理(如A7),有机物降解率的提升效果也十分有限。数据分析还发现,蛋白质的减量与工艺有关,高温热水解-厌氧消化处理工艺的蛋白质减量明显高于传统工艺,这也佐证了高温热水解的重要作用;但是多糖的减量相对不明显(如A9),采用与餐厨废弃物协同厌氧消化,产物中的多糖含量反而增加。所以受厌氧消化工艺和进泥泥质的差异,采用污泥有机物降解率作为稳定化的指标就值得商榷了。
从表1还发现,厌氧消化不仅是有机物(蛋白质、多糖等)的降解过程,同时也是物质的合成过程(腐熟或腐殖化)。经厌氧消化处理后,腐殖酸的含量(富里酸与胡敏酸的总和)都有不同程度的增加,除A9外,其余各厂的产物中腐殖酸的含量均有不同程度的提高,提升幅度为24~117 mg/gVS。而A9,因其协同餐厨废弃物处理,餐厨废弃物占比50%,在有限的消化时间(20 d)内,有机物降解地尚不够彻底,产物中仍有98.1 mg/gVS的蛋白质和86.5 mg/gVS的多糖。而腐殖酸的合成原料来源于有机物降解的中间产物,可见腐殖酸的合成与有机物的降解是相辅相成的。

2.2 产物转化机理解析
为阐述厌氧消化过程有机物向有机质的转化机理,以A4为例,其采用高温热水解-中温两级厌氧消化-板框脱水处理工艺,污水处理规模100万m3/d。图2为各采样点物料中蛋白质、多糖和腐殖酸含量的变化规律。分析可知,污泥经过热水解和厌氧消化后,蛋白质从136.3 mg/gVS减少到70.3 mg/gVS,减量64.6%;多糖从62.3 mg/gVS减少到40.4 mg/gVS,减量55.5%,这体现了污泥中有机物的降解。但是,腐殖酸总量从140.6 mg/gVS增加到253.6 mg/gVS,增量23.8%,这体现了厌氧消化过程中,简单有机物向复杂有机质的转化。经过板框脱水(药剂调理)后,消化产物中的有机物含量略有降低,其中,腐殖酸含量由253.6 mg/gVS降至176.5 mg/gVS。试验也分析了脱水滤液(取样点e)中有机物的含量,检测出滤液中含有139.2 mg/L的多糖和911.0 mg/L的腐殖酸,结合水质水量计算可知,脱水滤液中的腐殖酸占消化出泥腐殖酸总量的14.2%,可见,板框脱水带走了沼渣中的水溶性腐殖酸;加之脱水滤液含有大量的腐殖酸和无机氮(氨氮),证明脱水滤液也具有作为液态营养液的再利用价值,为厌氧消化沼液的处理及再利用提供了思路。
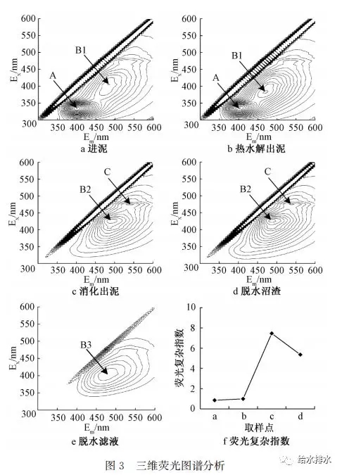
利用三维荧光图谱可以定性或半定量地分析蛋白质类和腐殖酸类物质的相对量,图3为A4在厌氧消化过程各采样点的三维荧光图谱及荧光复杂指数分析。与标准物质的光谱图比对可知,峰A(Ex/Em=335/400)介于牛血清蛋白和富里酸标准物质荧光峰的中间位置,在厌氧消化后消失,其代表一类具有荧光特性的蛋白质类物质;峰B1(Ex/Em=385/(470~475)在富里酸标准物质的位置出峰,其代表富里酸类物质;峰B2(Ex/Em=425/490)介于富里酸和胡敏酸荧光峰的中间位置,在厌氧消化后出现,代表富里酸向胡敏酸转化的中间产物;峰C(Ex/Em=475/540)在胡敏酸标准物质的位置出峰,代表胡敏酸类物质。

在明晰了各类荧光峰所代表的物质之后,结合图3可知:
(1)在进泥和热水解出泥中,样品中的荧光物质主要为蛋白质类和富里酸类物质,热水解后富里酸荧光峰(B1)增强,说明热水解也是富里酸的合成过程。
(2)在消化出泥和脱水沼渣中,类蛋白荧光峰(峰A)消失,类富里酸荧光峰发生偏移(峰B1→峰B2),同时出现类胡敏酸荧光峰(峰C),说明在厌氧消化过程,类蛋白物质被降解,类富里酸物质逐渐转化、聚合成类相对分子质量更大、更复杂和更稳定的胡敏酸物质;结合前述化学分析,再次证实了厌氧消化过程不仅是简单有机物(蛋白质)降解的过程,也是复杂、稳定的大分子有机物(胡敏酸)合成的过程。
(3)在脱水滤液中,荧光物质(峰B3)主要为腐殖化中间产物。
荧光复杂指数可表征物料中类蛋白物质和类腐殖酸物质的相对含量,将蛋白质的减量和腐殖酸的增量耦合在一起。从表1计算结果来看,采用热水解的厂蛋白质降解较彻底,产物中蛋白质含量低于100 mg/gVS、腐殖酸含量高于150 mg/gVS(增量大于60 mg/gVS),如A4~A6和A8,CI指数均在5.0以上;而未采用热水解的厂蛋白质降解不彻底,腐殖酸增量不明显(增量20~50 mg/gVS),如A1~A3,产物的CI指数增幅也不大;餐厨废弃物协同处理,但未采用热水解则蛋白质降解不彻底,腐殖酸无增量(如A9),CI指数几乎不变。此外,值得注意的是,A7虽然采用了热水解工艺,腐殖酸也增量了33 mg/gVS,但产物的CI指数仍很低(CI=1.0),分析发现,A7的进泥有机物含量在所有厂中最低,仅为40.3%。由此可见,用厌氧消化工艺处理有机物含量低的市政污泥,处理效率较低,稳定化程度有限。
为分析厌氧消化过程CI指数的变化规律,以A4为例,测定各采样点的CI指数绘于图3f。分析可知,热水解前后,CI指数变化不大;厌氧消化后,CI指数显著增加(CI=7.45),板框脱水后,液态腐殖酸随脱水液带走,CI指数降至5.36。这与化学分析和荧光分析结果相吻合,也进一步证实了CI指数受物料中蛋白质含量和腐殖酸含量的双重影响,将物质的降解与合成耦合在一起,可作为厌氧消化稳定化程度的判定标准之一。
3好氧发酵处理产物特征及转化机理研究
3.1 好氧发酵处理产物特征分析
7座好氧发酵厂的进泥泥质和最终发酵产物的性质见表2。由表2可知,各厂的有机物降解率差异较大,这主要是由于好氧发酵过程加入大量辅料,如蘑菇渣、稻壳、木屑等,造成发酵产物的有机物含量高于进泥,也说明采用有机物降解率≥50%来衡量好氧发酵产物的稳定化是不合适的。从蛋白质的减量来看,好氧发酵过程蛋白质的减量明显高于厌氧消化,且产物中蛋白质的残余量也更低,产物中的蛋白质含量均低于50 mg/gVS;再看多糖的降解,由于辅料的主要成分是多糖(纤维素类物质),所以产物中多糖的减量不明显,甚至比进泥还高,这也是好氧发酵有机物降解率存在缺陷的根本原因所在。同样的,试验结果显示好氧发酵同样作为稳定化方式,不仅是有机物的降解过程,也是有机质的合成过程。除厂B2和B3外,好氧发酵后腐殖酸均有显著增加,且产物中的腐殖酸含量均高于200 mg/gVS。而厂B2和B3,因进泥有机物含量较低,低于40%,且添加了大量辅料以维持一定的碳氮比,发酵过程辅料释放有机物(以多糖的形式),导致发酵产物的有机物含量高于进泥,腐殖酸的相对含量也下降了。

3.2 产物转化机理解析
为分析好氧发酵产物的转化机理,以厂B4为例,其污泥处理工艺规模600t/d,采用蘑菇渣作辅料,混合比例为回料∶原泥∶辅料=2∶1∶0.2,一次仓发酵14d,二次仓发酵20d,共计34d(冬季),部分发酵产物再陈化1个月。表3为各采样点物料中蛋白质、多糖和腐殖酸含量的变化。分析可知,发酵过程蛋白质减量显著,多糖减量明显但不彻底,陈化产物中仍含有64.5 mg/gVS的多糖,这主要是由于辅料(蘑菇渣)的加入,引入的多糖(以纤维素为主)所致。从腐殖酸总量上来看,经过发酵和陈化后,腐殖酸增量28.0%。从腐殖酸组分上来看,原泥中的腐殖酸以富里酸为主(125.5 mg/gVS),经过与辅料和回料的调理后,混料的腐殖酸总量增加,这主要是辅料和回料中腐殖酸的贡献。经过一次发酵,蛋白质含量显著下降,富里酸含量显著增加,说明这一阶段是蛋白质的降解过程,也是富里酸的合成过程;经过二次发酵,蛋白质有略微地下降,富里酸几乎无增长,胡敏酸开始累积,说明二次发酵阶段是富里酸向胡敏酸的转化过程,即腐殖化过程;在后续长时间的陈化过程,胡敏酸大量累积,也证明好氧发酵需要足够长的时间来保证发酵效果。胡敏酸作为非水溶性的大分子腐殖酸,比富里酸的化学稳定性更好,在土壤中不易扩散和迁移,对土壤的保水保肥具有重要意义。

同样,采用荧光光谱法分析厂B4在好氧发酵过程物质的降解与合成机理,测定得到的光谱图见图4。

与标准物质的图谱比对可得各荧光峰所代表的物质,并结合化学分析可知:
(1)污泥经过一次发酵后,类蛋白荧光峰(峰A)消失,腐殖化中间产物的荧光峰发生偏移(B1→B2),说明在一次发酵过程,类蛋白物质被降解,并转化为腐殖化中间产物(富里酸)。
(2)二次发酵后,富里酸(峰B2)含量减少,胡敏酸(峰C)含量增加,说明二次发酵是有机物腐殖化的过程,但产物中仍有大量中间产物(峰B2),说明
在有限的发酵时间内,腐殖化程度尚不完全。
(3)在陈化过程,胡敏酸含量显著增加,可见陈化过程促进了富里酸向胡敏酸的转化,促进了有机物的腐殖化。经过长时间的陈化后,仅剩下类胡敏酸荧光峰(见图4e),说明好氧发酵产物经过一段时间的陈化,对进一步加强腐殖化过程是非常有必要的。
从各个厂的CI指数来看(见表2),除厂B2和B3外,其余各厂的CI指数均在5.0以上。由于多糖不具有荧光特性,而CI指数耦合了蛋白质和腐殖酸的相对含量,因此该指数的使用可避免外加碳源而导致降解率不准确的问题,从而准确、有效地判断发酵产物的稳定化水平。
为分析好氧发酵过程CI指数的变化规律,以厂B4为例,测定各采样点的CI指数如图4f。分析可知,经过两次发酵后,CI指数显著增加(CI=10.6),陈化后,CI指数激增至69.3。由此可见,无论是厌氧消化,还是好氧发酵,这一指数综合反映了物质的降解与合成,可用于污泥处理产物稳定化程度的判定。
4污泥稳定化过程物质转化机理揭示
总结厌氧消化和好氧发酵过程物质转化过程,引用土壤学普遍认同的腐殖酸多酚合成理论来解释污泥稳定化过程有机质合成的过程机理,用传统的厌氧两阶段理论和好氧三羧酸循环理论解释有机物的降解过程。如图5所示,在一定的条件下(有氧、无氧、适宜温度等),污泥中的有机物(游离的碳水化合物)以及细菌细胞裂解释放到胞外的有机物(蛋白质、多糖等)在微生物和氧化酶的作用下,一部分有机物经过好氧的三羧酸循环或厌氧的两阶段(水解酸化和产甲烷),逐步分解为小分子有机物(丙酮酸、氨基酸等),再进一步转化为CO2、H2O、NH3(或NH+4)、CH4等无机小分子物质;另一部分有机物先转化为小分子有机物,如多酚、醌类(丙酮酸的前驱物)、氨基化合物等,再在微生物和酶的作用下,与含氮化合物聚合成富里酸,这一过程主要发生在厌氧消化的热水解阶段和好氧发酵的一次发酵阶段;接着,生成的富里酸进一步聚合,并逐步生成胡敏酸,胡敏酸进一步聚合形成腐黑物;这一过程主要发生在厌氧消化的消化阶段和好氧发酵的二次发酵和陈化阶段。至此,完成了有机物的降解与腐殖酸类物质的合成。其中,有机物的降解过程相对较快,腐殖酸的合成过程相对缓慢,特别是经过长时间的陈化过程,胡敏酸和腐黑物才缓慢形成。

5产物可利用价值的揭示
污泥稳定化产物(目前广泛称之为有机炭土、生物炭土)因富含有机质、腐殖酸、微量营养元素、多种氨基酸和酶类等,被认为有重要的土地利用潜力。其中,腐殖酸是一种富含多种活性含氧官能团的大分子有机物,是土壤结构的稳定剂、改良剂、重金属的固定剂、微量元素的溶解剂和植物养料的“仓库”。其胶体性能能改善土壤的团粒结构,使土壤吸水量增大,透气性增强,孔隙度和持水量增加,有助于提高土壤的保水、保肥能力。同时,腐殖酸还含有多种活性含氧官能团,盐基交换容量大,能够吸附土壤中的可溶性盐,阻碍有害阳离子进入植物体内,降低土壤盐浓度和酸碱度,起到改良盐碱土壤的作用。腐殖酸的活性官能团也能与重金属离子、放射性核素以及芳香化合物等物质发生吸附、离子交换、氧化还原、络合鳌合等各种物理化学反应,对转化和降解污染物、净化土壤环境起重要作用。腐殖酸还能与中、微量元素发生螯合反应,生成溶解性好、可被植物吸收和利用的螯合物,从而有利于植物对其吸收和利用。此外,腐殖酸能激活土壤酶从而加速微生物的生长,加快有机氮的矿化速度,减少氮的流失;其活性含氧官能团可促使天然磷矿石的分解,增加可溶性磷,活化土壤中的难溶性磷,也能够吸收和储存钾离子,防止钾离子在沙土及淋溶性强的土壤中随水流失。
腐殖酸按其在环境中的形态又分为富里酸和胡敏酸,富里酸是一类水溶性的小分子腐殖酸,胡敏酸是一类非水溶性的大分子腐殖酸,富里酸在土壤中有较好的扩散性和渗透性,可被植物直接吸收利用,而胡敏酸化学结构相对稳定,因其是非水溶性有机质,在土壤中的迁移性较差,也不能被植物直接吸收利用,但在固定、储存营养元素、改善土壤肥力等方面发挥着重要功能。另一方面,在全球碳循环中,腐殖酸是动植物、微生物残体回归自然生态系统的中间介质,是能量交换的载体,也是化石能源(煤、石油、天然气)形成的前驱物。污泥稳定化过程是模仿自然过程,用工程化手段实现了微生物残体、有机物向腐殖酸的转化,促进了腐殖酸在地球化学中的碳循环。污泥稳定化产物的土地利用,不仅是有益物质再利用如此简单的意义,更多的还在于对全球资源能源的可持续发展以及地球生物化学物质循环的重要意义。
6结论
本文以全国16座污泥处理工程实际数据为基础,研究了厌氧消化和好氧发酵过程物质的转化机理,揭示和评价了产物的资源化利用潜力和价值。归纳总结如下:
(1)污泥的稳定化处理过程(厌氧消化、好氧发酵)不仅是简单有机物(蛋白质、多糖等)降解的过程,也是复杂、稳定的大分子有机质(富里酸、胡敏酸等)合成的过程。稳定化产物的价值不仅在于其富含氮磷等营养元素,更大的意义在于稳定化过程形成的富里酸和胡敏酸,这类物质对土壤保水保肥、改善土壤结构、减少重金属的环境影响、净化土壤起着重要作用,也是微生物残体回归自然生态系统的中间介质,是化石能源形成的前驱物。腐殖酸化学结构相对稳定,微生物对其作用缓慢,所以不易腐败发臭,是环境中可长期存在的有机质。
(2)我国采用有机物降解率来评价稳定化程度,存在一定的缺陷;腐殖酸的合成不仅体现了产物的有益价值,也证实了可用于污泥稳定化程度的评价;因此,将物质的合成与降解结合起来,是准确评价污泥稳定化处理效果的真正内涵。本文提出用腐殖酸总量和荧光复杂指数来判断污泥处理产物的稳定化程度。其中,荧光复杂指数反映了物料中易生物降解组分(蛋白质类物质)的减少和复杂、稳定组分(腐殖质类物质)的增加。该指数越大,说明简单有机物降解地越彻底,腐殖化程度越高。该指数综合了物质的合成与降解,适用范围广(不同工艺的厌氧消化和好氧发酵),且能有效避免进泥泥质差异对稳定化程度判断的影响。
(3)本文在研究厌氧消化、好氧发酵物质转化机理的基础上,揭示了其稳定化处理产物的构成、在土壤中的作用发挥方式、对土壤改良和植物生长的积极意义,相关研究为我国污泥处理产物的土地资源化利用提供重要的科学依据,具有重要的科学意义和工程使用价值。



