
文章看点
污水厂始终处于动态变化之中;
污水厂稳定运行出水水质分布规律;
稳定达标的定义;
稳定达标的相关计算;
国内外设计单位对出水设计浓度的取值;
稳定达标的评价
(本文根据亚洲环保长三角排水论坛发言整理而成)
随着中国污水处理向着纵深的发展,污水处理的“高排放标准”与“稳定达标”近年来成为行业发展中的热点问题,特别是“如何才能稳定达标?”更是成为实际污水处理设计与运行的焦点问题。
事实上,受进水负荷、外界环境、运行参数、检修维护的影响,污水处理厂始终处于动态变化之中,正如美国著名的污水处理专家JB Neethling所言:“污水厂只有当池子是空的时候才会处于稳定状态”。

而恰恰相反的是,传统污水处理设计都是按照稳态设计,这种基于稳态设计的动态系统的出水水质变化规律势必影响污水厂的稳定达标。因此,如果我们知道了出水水质的变化规律就可以在一定程度上预测未来一段时间内污水处理厂的稳定达标情况。对于受多种随机因素影响的出水水质数据而言,数理统计方法提供了一种强有力的分析手段。
污水厂稳定运行时的出水水质分布规律
此次分析选取国内北方某城市8座大中型污水厂历时5年的出水水质、南方一座中型污水厂1年的出水水质。涵盖的工艺包括A2O、氧化沟、SBR等主流污水处理技术。对出水COD、氨氮、总氮、总磷每年数据的分布规律进行了正态分布、对数正态分布、伽马分布检验,检验方法采用柯尔莫哥洛夫-斯米尔诺夫检验(即K-S检验)。

从上述数据分布图与概率图中可以看出,处于稳定运行状态的污水厂出水水质数据基本服从对数正态分布,即使有极个别的异常数据也不会影响总体分布。但如果污水厂在某一段时间处于非稳定运行状态,比如持续较长一段时间硝化效果的丧失则会导致数据不服从任何分布。事实上,如果一个变量是多个独立因子的乘积,则这个变量可以看作是对数正态分布。现有的生物动力学模型对COD、氨氮、总氮、总磷的基本表达含有乘法的规则。因此,出水水质分布从更广的意义上采用对数正态分布表达是合理的。同时,上述分析研究与国外的研究结果一致,美国在70年代开始大量建设污水厂,围绕活性污泥工艺的稳定性进行了深入的研究,基本的结论也是认为污水厂的出水水质数据服从对数正态分布。
稳定达标的定义
目前,行业内对“稳定达标”一词并没有清晰、明确的定义,如何理解、衡量稳定达标也存在不同的看法。由于“稳定达标”反映的是系统可靠性的问题,因此可以用可靠度来衡量。权威著作《Wastewater Engineering Treatmentand Resource Recovery》对污水处理的可靠度给出了明确的定义:即在一定条件下,污水处理厂出水水质的达标时间占考核时间的百分比。如:某污水处理厂可靠度为99%,即是在99%的考核时间内都达标,如果考核的时间是1年,那么将会有3-4天(3.65)的时间超标。
稳定达标的相关计算
1、可靠性系数
可靠度理论的一个关键参数是可靠性系数,可靠性系数可以表示为:COR=设计浓度/排放标准,则设计的出水平均值可以用下式表达:
mx = (COR)Xs
mx是设计的出水平均值,Xs是出水标准值,COR是可靠性系数。
国际上对污水处理工艺可靠性的研究结论认为服从对数正态分布规律的出水水质可靠性系数可以表示为:

CV是变异系数,又称“离散系数”,为标准差与平均值之比(σ/μ)。
可靠性系数COR与离散系数CV可以在三个方面有所应用:
(1)确定合理的设计标准以满足当前的排放标准;
(2)对已有的污水处理厂,可以预测出水超标风险(或出水超标的次数);
(3)制定合理的排放标准。
例如,当CV=0.5,要求稳定达标率为95%时,α=0.05,1-α=0.95,从标准正态分布表中查得Z1-α=Z0.95=1.645。可靠性系数COR可以通过上式算出:COR =0.51
那么出水的平均值应该达到:mx = (COR)Xs= 0.51Xs。如果出水氨氮的标准是3mg/L,则需要设计的出水氨氮值为0.51×3 = 1.5mg/L才能保证出水稳定达标的概率达到95%(每月约有1.5天超标)。
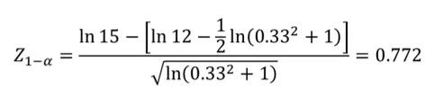
2、稳定达标率的计算
可靠性理论的另外一个应用是计算污水厂出水的稳定达标率,对上述计算可靠性系数的公式经过推导可以得到以下公式:

例如,当出水标准总氮为15mg/L、CV=0.4、出水TN设计均值为12mg/L,则

对于Z1-α=0.772,相应的1-α=0.78,出水TN达到15mg/L的达标率为78%。如出水TN设计均值为7.5mg/L,根据上述计算,达标率为98%。
显然,影响污水厂出水水质设计值取值的关键参数是数据的离散系数与要求的稳定达标率。下面两个表反映了当要求出水TN<15mg/L、TN<10mg/L时,在不同离散系数与不同稳定达标率情况下的出水设计值。
日均TN<15mg/L时的出水设计值

日均TN<10mg/L时的出水设计值

从上面两个表可以看出,对于典型的离散系数CV=0.4时,当要求日均值的达标率为99.7%时,其设计的出水TN值需要达到5.55mg/L和3.7mg/L,无疑对脱氮工艺的选择和运行都是较大的挑战。
国内外设计单位对出水设计浓度的取值
污水处理厂的设计出水水质应该考虑在一定可靠性的基础上低于相应的排放标准,而不能正好是排放标准,因此设计的取值无疑非常重要。以TN<15mg/L为例,国内部分设计单位一般取值为15mg/L或12mg/L或10mg/L;但美国的部分咨询公司会按照50%×15=7.5mg/L取值,主要是考虑到通常市政污水厂出水水质数据的离散系数约为0.5左右,大概有一半的时间会超过7.5mg/L,另一半的时间低于7.5mg/L。欧洲的设计经验也是采用50%×15=7.5mg/L(95%可靠度情况下),如下图之表述。

稳定达标的评价
世界各地对于污水处理稳定达标的评价不尽相同,其不仅涉及评价方法,还与取样方法、例外数据等多种因素有关,因此标准之间的直接比较没有意义。
1、欧洲
(1)采样方法
瞬时样:奥地利(污水厂规模50-500人口当量)、英国、瑞士(污水厂规模<2000人口当量)、德国、意大利;
混合样:欧盟、奥地利(污水厂规模>500人口当量)、瑞士(污水厂规模>2000人口当量)、丹麦、法国、芬兰、挪威、荷兰、西班牙、葡萄牙。
(2)评价方法
方法1:每个水样都达标,Xi<K,Xi代表水样的实际值,K代表标准值;
方法2:固定比例的水样达标,比如Y%的水样满足标准值,(100-Y)%的水样容许超过标准值;
方法3:可变比例的水样达标,达标的水样比例根据污水厂的规模等因素而变化;
方法4:水样的平均值达标,`X<K。`X表示平均值。
方法5:水样的平均值和标准偏差达标,`X+kn·S<K,kn为离散系数,S为水样标准差。


不同评价方法及离散系数的影响
(3)瞬时达标的评估(以意大利为例)

意大利 (距离海岸<10km)瞬时达标的评估
以意大利对距离海岸<10km的污水厂达标评价为例,为了比较其瞬时达标标准(意大利)与年均达标标准(欧盟)的关系,需进行如下的数据转化:TN年均达标值(mg/L)=TN瞬时达标值(mg/L)×采样系数×评价方法转化系数×例外数据系数=10×0.87×0.47×0.95=3.9mg/L。可以看出,如果总氮要求年均值达到10mg/L,则其瞬时值需要达到3.9mg/L,差异非常大。
2、美国
美国污水处理水平的地区差异性较大,比如西海岸地区的某些污水厂只要求二级处理标准,而东海岸某些地区的污水厂要求达到极限脱氮除磷的标准。美国的污水处理水平大致可以分为以下5个等级。
美国污水处理水平的划分

所谓的极限脱氮除磷(Limit of Technology,LOT)通常是用于表达采用特定技术对目标化合物能够获得的最低可能浓度,一般认为TN<3mg/L、TP<0.1mg/L,极限脱氮除磷是统计学意义上的技术名词,通常是95%可靠度,只是部分富营养化敏感地区的要求。极限脱氮除磷概念在美国出现之后引发了多方面的研究,其中也包括如何评价极限脱氮除磷。这方面一个显著的技术名词是技术性能统计(Technology Performance Statistic,TPS),技术性能统计是应用数理统计方法来描述技术的性能,可以分为理想技术性能、平均技术性能、可靠技术性能几种类型。
(1)理想技术性能统计是代表可观察的最低浓度,只能维持很短的一段时间,通常采用一年内持续2周时间的最低浓度,其达标率只有2/52=3.84%。
(2)平均技术性能统计是反映可靠性能与平均性能的偏离程度;
(3)可靠技术性能统计是基于技术、考核时间段以及运行者在自身风险承受能力基础上可接受的超标次数而综合确定的百分比;例如TPS-90%、TPS-95%、TPS-99%。
为了达到极限脱氮除磷的标准,在对Bardenpho、A2O+反硝化滤池、多级硝化-反硝化等工艺进行了大量的数据统计分析之后(下图),美国的污水处理业界倾向于采用TPS-95%,主要是考虑到美国的很多污水处理厂的排放标准是月均值,也就是如果在连续5年的运行中,超标的月均值可以有3次,这样的结果通常被认为技术是可靠的。

同时,相关的研究报告也显示,美国一些要求高标准脱氮除磷污水厂其总氮去除的TPS-14d一般是TPS(50%)的50-60%,TPS(95%)是均值的180-250%;对于总磷而言,总磷去除的TPS-14d值是均值的40-59%,TPS(95%)是均值的200-300%,这清楚地表明即使是在美国最好性能的脱氮除磷污水处理厂,出水水质也存在较大的波动性。



